欧宝电竞

产品中心
产品中心
Our Product
片式电感器
片式电感器
片式电感器
片式电感器
片式电感器
片式电感器
片式电感器
片式电感器
片式电感器
片式电感器
片式电感器
片式电感器
片式电感器
片式电感器

片式电感器

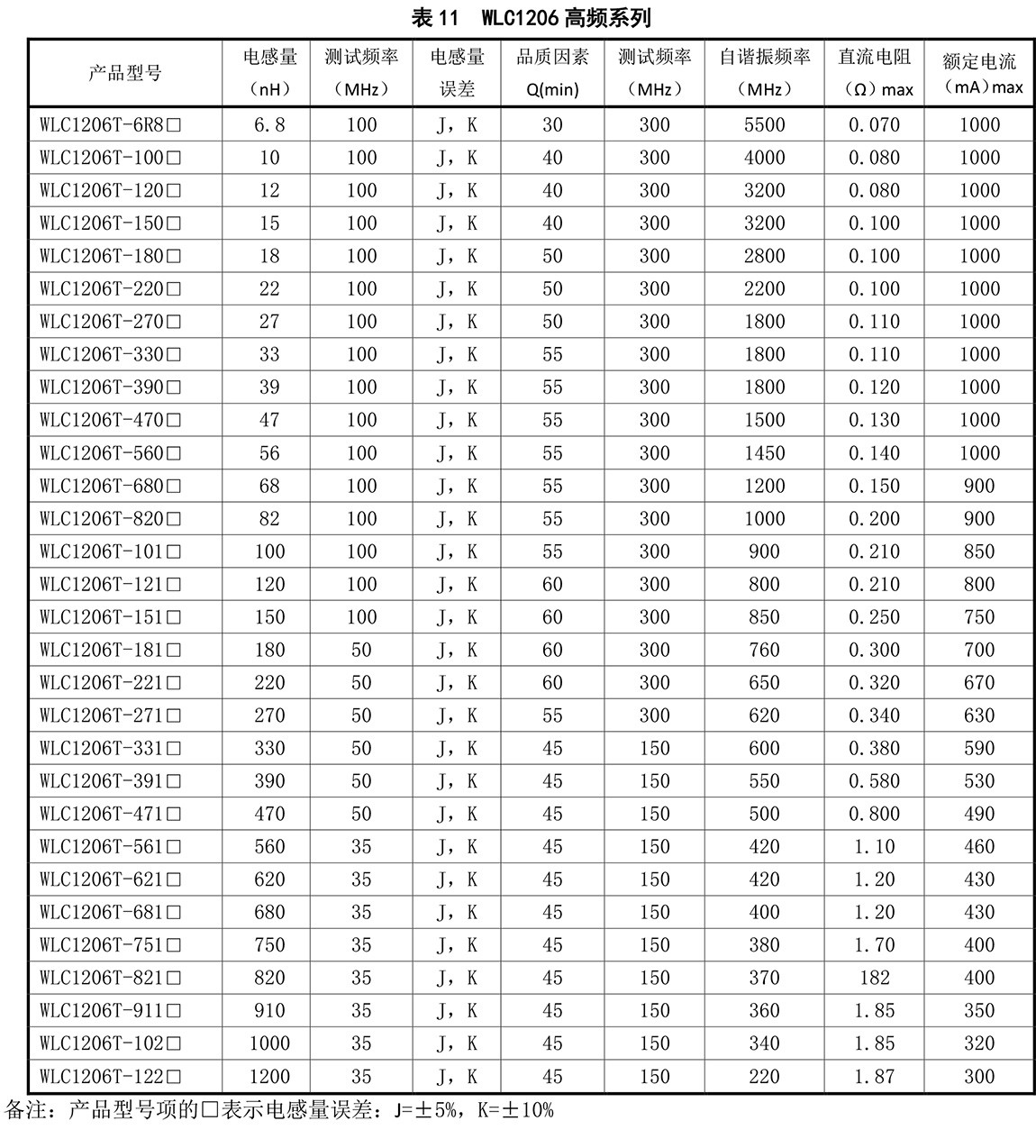
预定用途:体积小、重量轻 ;顺应载流焊与回流焊 ;电性能稳固,可靠性高 ;装配本钱低,并与自动装贴装备匹配 ;机械强度高,高频特征优越。




在线咨询

产品形貌


网站地图